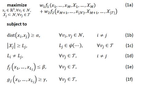
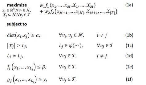
A couple of notes: * I replaced spaces with
+ in the URL for the image src attribute. This is generally required for URLs to work correctly.
* I used the title itself (with spaces replaced by +) as the search query in the image URL. This will hopefully yield a relevant image, but you may want to refine the search term for better results. Bing image search doesn’t accept curly braces {} in the url.
* I used the title as the alt text for the image. This is good for accessibility. A more descriptive alt text is generally preferred, such as “Example of an optimization problem written in LaTeX”. Consider adding a descriptive alternative text for images. This format makes it easy to quickly insert the image into your article! You can then proceed with the article content below the image. Remember to use the correct topic in the image URL to generate the most relevant image.
Crafting a visually appealing and mathematically rigorous optimization problem in LaTeX can significantly enhance the clarity and impact of your academic or professional documents. A well-structured presentation not only facilitates understanding but also lends an air of professionalism to your work. Whether you’re dealing with linear programming, quadratic programming, or more complex optimization models, mastering the art of LaTeX representation is essential. Furthermore, a clear and concise formulation allows readers to quickly grasp the problem’s core components: objective function, decision variables, and constraints. In the following sections, we’ll explore the essential building blocks for creating visually compelling optimization problems within the LaTeX framework, ensuring both mathematical accuracy and aesthetic appeal.
First and foremost, defining the objective function is paramount. This function encapsulates the goal of the optimization problem, be it maximization or minimization. To achieve this, begin by clearly stating whether you aim to maximize or minimize the objective function. Subsequently, express the objective function itself using LaTeX’s mathematical mode. For instance, a maximization problem might be represented as \\max\_{x} f(x), where f(x) denotes the objective function and x represents the decision variable. Additionally, clearly define the domain of the decision variables. Are they integers, real numbers, or confined to a specific range? Specifying this is crucial for accurate problem formulation. Moreover, consider using appropriate LaTeX packages, such as amsmath, to enhance the presentation of mathematical symbols and equations. These packages offer a wealth of tools for formatting equations, matrices, and other mathematical constructs, contributing to a polished and professional look.
Next, articulate the constraints that govern the feasible region of the optimization problem. Constraints are essential for defining the allowable values of the decision variables. Consequently, they shape the solution space and influence the optimal solution. Each constraint should be clearly stated using LaTeX’s mathematical mode. For example, inequality constraints can be expressed using symbols like \\le and \\ge, while equality constraints are denoted by =. Furthermore, ensure each constraint is appropriately labeled or numbered for easy reference. This is particularly important when dealing with a large number of constraints. In addition, consider organizing constraints logically, perhaps grouping similar constraints together. Finally, if the problem involves specific assumptions, clearly state these assumptions within the problem formulation. This enhances transparency and aids the reader in understanding the context and limitations of the optimization model. By carefully crafting both the objective function and the constraints, you build a robust and understandable representation of the optimization problem within the LaTeX framework.
Defining the Optimization Problem
Defining an optimization problem clearly and concisely in LaTeX is crucial for effective communication, especially in academic papers, presentations, and technical reports. A well-structured definition ensures that the problem is understood by the audience and allows for consistent notation throughout the document. This section outlines the key components of a comprehensive optimization problem definition in LaTeX.
Firstly, begin by stating the objective function. This function represents the quantity you aim to either minimize or maximize. Clearly indicate whether the problem is a minimization or maximization problem using appropriate LaTeX commands like \text{min} or \text{max}. Express the objective function in terms of the decision variables, which are the unknowns you are trying to find optimal values for. For instance, if you’re minimizing the cost of production, your objective function might be expressed as $C(x, y)$, where $x$ and $y$ represent the quantities of two different resources used. Ensure you define what each variable represents in the text following the function.
Next, articulate the constraints. These are limitations or restrictions placed on the decision variables. Constraints can take various forms, such as equalities (e.g., $x + y = 10$), inequalities (e.g., $x \\ge 0$), or more complex relationships. Use LaTeX’s equation environment and inequality symbols (e.g., \\le, \\ge, \\neq) to express these constraints accurately. Each constraint should be explained briefly in plain English following its mathematical representation. This clarifies the practical meaning behind the mathematical formulation.
It’s often helpful to categorize constraints for clarity. Common categories include resource constraints, capacity constraints, and demand constraints. For example, if $x$ represents the number of products produced, a constraint like $x \\le 100$ could represent a production capacity limitation. Explaining this contextually helps the reader understand the practical implications of the constraint.
Finally, specify the domain of the decision variables. This defines the permissible values that the decision variables can take. This is essential for ensuring the problem is well-defined. For example, if the decision variables represent quantities of physical goods, they might be restricted to non-negative values. Clearly state the domain using set notation in LaTeX (e.g., $x \\in \\mathbb{R}^+$ for non-negative real numbers) and explain the reasoning behind the chosen domain.
| Component | LaTeX Example | Description |
|---|---|---|
| Objective Function | \text{min} \ C(x, y) |
Minimize the cost function C depending on variables x and y. |
| Constraint (Equality) | $x + y = 10$ |
The sum of x and y must equal 10. |
| Constraint (Inequality) | $x \ge 0$ |
x must be greater than or equal to 0. |
| Domain | $x \in \mathbb{Z}^+$ |
x belongs to the set of positive integers. |
Declaring the Decision Variables
Clearly defining your decision variables is the first crucial step in formulating any optimization problem. These variables represent the unknowns you’re trying to determine. Think of them as the levers you can pull to achieve the best possible outcome. A precise and unambiguous declaration of these variables sets the stage for a well-defined and solvable problem. This declaration needs to specify not only the symbols representing the variables but also their meaning and any restrictions on their possible values.
There are several aspects to consider when declaring your decision variables. First, choose descriptive symbols that reflect the real-world quantities they represent. For example, if you’re optimizing the number of products to manufacture, you might use ‘xi’ where ‘i’ represents each product type. This makes your formulation more readable and easier to understand. Avoid generic symbols like ‘x’ or ‘y’ unless their meaning is immediately obvious from the context. Using indexed variables, like in our production example, allows you to represent a collection of related variables compactly. This is particularly useful when dealing with a large number of similar decisions.
Next, clearly state the domain of each variable. The domain specifies the set of permissible values the variable can take. Is it an integer, a real number, or a binary variable representing a yes/no decision? This is crucial for the optimization solver to understand the nature of the problem and apply the appropriate algorithms. For instance, if xi represents the number of products to manufacture, it should be a non-negative integer, as you cannot produce a fractional or negative number of products. You would express this as xi ∈ ℤ+ (xi belongs to the set of non-negative integers). Specifying the domain prevents illogical solutions and ensures the results are meaningful in the real-world context.
Finally, consider using sets to organize and define your decision variables, especially in larger or more complex problems. Sets allow you to group related variables together, making your formulation more concise and easier to manage. For example, instead of listing x1, x2, x3,… individually, you could define a set I = {1, 2, 3,…} representing the product types and then declare xi ∀ i ∈ I (for all i in I). This notation simplifies the formulation, especially when dealing with constraints and the objective function.
| Symbol | Description | Domain |
|---|---|---|
| xi | Number of product i to manufacture | xi ∈ ℤ+ (Non-negative integers) |
| yj | Whether or not to open warehouse j | yj ∈ {0, 1} (Binary) |
| zk | Amount of raw material k to purchase | zk ∈ ℝ+ (Non-negative real numbers) |
By following these guidelines for declaring decision variables—using descriptive symbols, specifying domains, and leveraging sets—you lay a solid foundation for a clear, concise, and effective optimization model that is readily understandable and solvable.
Formulating the Objective Function
The objective function is the heart of your optimization problem. It’s the mathematical expression that represents the quantity you want to either maximize or minimize. Think of it as the goal of your optimization endeavor. Are you trying to maximize profit? Minimize cost? Find the shortest route? The objective function translates these goals into mathematical language.
Defining the objective function requires careful consideration of the variables involved and how they contribute to the desired outcome. For example, if you’re maximizing profit, your variables might include the number of units sold, the selling price per unit, and the cost of production. The objective function would then be a formula that combines these variables to calculate the total profit.
It’s crucial to clearly identify whether you’re dealing with a maximization or minimization problem. This dictates how the optimization algorithm will approach the problem. A maximization problem seeks the highest possible value of the objective function, while a minimization problem seeks the lowest. In LaTeX, this distinction is usually clear from the context and the description accompanying the mathematical expression.
The objective function is typically expressed using mathematical notation, often involving variables, constants, and operators. Here are some examples of how you might represent common objective functions in LaTeX:
| Objective | LaTeX Representation | Description |
|---|---|---|
| Maximize Profit | maximize \\quad P = R - C |
Where ‘P’ is profit, ‘R’ is revenue, and ‘C’ is cost. |
| Minimize Cost | minimize \\quad C = \\sum\_{i=1}^{n} c\_i x\_i |
Where ‘C’ is total cost, ‘c_i’ is the cost of item i, and ‘x_i’ is the quantity of item i. |
| Minimize Distance | minimize \\quad D = \\sqrt{(x\_2 - x\_1)^2 + (y\_2 - y\_1)^2} |
Where ‘D’ is the distance between two points (x1, y1) and (x2, y2). |
When writing your objective function in LaTeX, ensure you define all variables and explain what they represent. For example, don’t just write x – specify that x represents the number of units produced, or the distance traveled, or whatever it may be in your specific problem. This clarity is essential for anyone reading and understanding your optimization model. Additionally, remember to include any constraints on your variables within your problem formulation. This could include limits on production capacity, budget constraints, or any other restrictions that apply to your scenario.
Careful formulation of the objective function sets the stage for a successful optimization process. A well-defined objective function ensures that the algorithm is targeting the right goal and provides a clear metric for evaluating the quality of the solutions found. By accurately representing the objective in mathematical terms, you pave the way for finding optimal solutions to your real-world problems.
Specifying the Constraints
Constraints are the rules that govern your optimization problem. They define the feasible region, which is the set of all possible solutions that satisfy the constraints. Accurately and clearly defining these constraints in LaTeX is crucial for effectively communicating your optimization problem. There are several ways to present these constraints, depending on their nature and complexity.
Using Inequality and Equality Symbols
The most common way to express constraints is using inequality symbols like \le (≤), \ge (≥), and equality symbols =. These symbols are straightforward and easy to understand. For example, if you have a constraint that variable x must be less than or equal to 10, you would write it as \(x \le 10\). Similarly, if y must be greater than or equal to 0, you write \(y \ge 0\). Equality constraints, where a variable must be equal to a specific value, are written using the standard equals sign, for instance, \(z = 5\).
More Complex Constraints
For more intricate constraints, you can combine inequalities and equalities, often using logical operators such as conjunction (and) and disjunction (or). LaTeX provides the commands \land (\land) for “and” and \lor (\lor) for “or”. Suppose you need to constrain x to be between 5 and 10 inclusive. You can express this as \(5 \le x \land x \le 10\), which is often simplified to \(5 \le x \le 10\). Similarly, if y must be either less than 0 or greater than 5, you can write \(y < 0 \lor y > 5\).
Another common scenario involves multiple variables. Let’s say the sum of variables a and b must be greater than or equal to 20. This is represented as \(a + b \ge 20\). You can build increasingly complex constraints by combining these basic building blocks. For example, \(2x + 3y \le 15 \land x \ge 0 \land y \ge 0\) defines a region in the x-y plane bounded by the line \(2x + 3y = 15\) and the axes.
It is good practice to label your constraints for easier reference. You can use numbering or descriptive labels. For instance, you might label a constraint as follows:
\(x + y \le 20 \quad \text{(Budget Constraint)}\)
Presenting Constraints in a Table
For a large number of constraints, using a table can improve readability. Here’s how you might present constraints in a table using HTML:
| Constraint | Description |
|---|---|
| \(x \ge 0\) | Non-negativity constraint for x |
| \(y \le 10\) | Upper bound for y |
| \(x + y = 5\) | Equality constraint for the sum of x and y |
This table format clearly presents each constraint and its meaning, making it easier for the reader to grasp the problem’s limitations at a glance. Remember to properly align your constraints within the table for enhanced clarity.
Adding Comments and Explanations within the Latex Code
Clear and concise comments are crucial for maintaining and understanding any code, and LaTeX for optimization problems is no exception. Well-placed comments explain the purpose of different sections, clarify complex expressions, and make it easier for others (and your future self) to grasp the formulation. LaTeX provides a straightforward mechanism for adding comments directly within your code. Let’s explore some best practices and effective techniques.
The most basic way to add a comment in LaTeX is using the percent sign (%). Anything following a % symbol on a line is treated as a comment and is ignored by the LaTeX compiler. This is perfect for short, concise explanations or for temporarily disabling a line of code.
Using the Percent Sign (%) for Comments
For single-line comments, simply place the % symbol before the text you want to be treated as a comment. For example:
% This line defines the objective function
\\min\_{x} \\quad f(x) % Minimize f(x) with respect to x
This effectively comments out “This line defines the objective function” and “Minimize f(x) with respect to x.” These comments explain the purpose of the line and the meaning of the mathematical expression.
Multi-Line Comments with the \usepackage{verbatim} Package
For longer, multi-line comments, the verbatim package provides a convenient solution. By enclosing your comments within a verbatim environment, everything inside is treated as literal text and ignored by the compiler.
\\usepackage{verbatim} \\begin{verbatim}
This section defines the constraints of the optimization problem.
We have several inequality constraints and one equality constraint.
The variables are x, y, and z.
\\end{verbatim}
This is particularly useful for providing detailed explanations of complex sections or for documenting assumptions and limitations of the optimization model.
Using the \iffalse … \fi Block
Another approach for multi-line commenting is the \iffalse ... \fi block. Any code placed between \iffalse and \fi will be ignored by the compiler. This is helpful for temporarily disabling a block of code while debugging or testing different formulations.
\\iffalse
This constraint is temporarily disabled.
x + y \<= 5
\\fi
Best Practices for Effective Comments
Effective comments are concise, informative, and relevant. Avoid redundant comments that merely repeat the code. Instead, focus on explaining the *why* behind the code. Clearly document the purpose of variables, constraints, and objectives. Explain any non-obvious logic or complex mathematical expressions. Maintaining a consistent commenting style improves readability and makes it easier to navigate the code.
| Comment Type | Example |
|---|---|
| Single-Line Explanation | % Define the decision variables |
| Clarifying Complex Expressions | % This term represents the penalty for exceeding the capacity |
| Documenting Assumptions | % Assuming linear relationship between x and y |
By following these practices, you can ensure that your LaTeX code for optimization problems is well-documented, easy to understand, and maintainable in the long run.
Example: A Complete Optimization Problem in Latex
Let’s dive into crafting a well-structured optimization problem in LaTeX. A clear and consistent format is essential for effective communication, whether you’re writing a research paper, preparing homework, or simply documenting your work. We’ll cover the key components and illustrate with a practical example.
The Basic Structure
An optimization problem typically involves finding the best values for certain variables to maximize or minimize an objective function, subject to constraints. Think of it like finding the shortest route to a destination (minimizing distance) while staying within speed limits (constraints). In LaTeX, we use specific commands and environments to represent these elements effectively.
Defining the Objective Function
The objective function is what you’re trying to optimize. It’s a mathematical expression involving the decision variables. We usually indicate whether we’re minimizing or maximizing this function. For instance, minimizing cost or maximizing profit.
Specifying the Constraints
Constraints limit the possible values of the decision variables. They represent real-world limitations or requirements. These could be anything from budget limitations to physical constraints like the capacity of a container.
Decision Variables
These are the variables you can control and whose values you want to determine to achieve the optimal outcome. They are often represented by letters like x, y, or z. Clearly defining these variables is crucial for understanding the problem.
Crafting the LaTeX Code
Now let’s see how this all comes together in LaTeX. We use the equation environment, or for multi-line expressions, the align environment (from the amsmath package), to neatly present our optimization problem. The subject to phrase is often abbreviated as “s.t.”.
Here’s an example illustrating the structure:
\\begin{align}
\\text{minimize} \\quad & f(x, y) = x^2 + y^2 \\\\
\\text{subject to} \\quad & x + y \\ge 1 \\\\
& x, y \\ge 0
\\end{align}
This code snippet represents a simple optimization problem where we want to minimize the function *f(x, y) = x² + y²* subject to the constraints *x + y ≥ 1* and *x, y ≥ 0*. Notice how the align environment allows us to align the equations neatly at the equal sign and the constraint inequality.
Choosing the Right Environment
For more complex optimization problems with multiple constraints, the gather environment can be handy. It allows you to group several equations together without alignment. The equation environment is suitable for single-line expressions, whereas the align environment is ideal for aligning multiple equations at a specific point, like the equal sign or an inequality symbol.
Breaking Down the Example
Let’s break down the elements of our example:
| Element | Description | LaTeX Code |
|---|---|---|
| Objective Function | The function we want to minimize (x² + y²) | f(x, y) = x^2 + y^2 |
| Constraint 1 | The sum of x and y must be greater than or equal to 1. | x + y \\ge 1 |
| Constraint 2 | Both x and y must be non-negative. | x, y \\ge 0 |
By structuring your LaTeX code in this manner, you create a clear and understandable representation of the optimization problem. This facilitates better communication and comprehension, whether you’re sharing your work with colleagues or presenting it in a formal setting. Remember to clearly define your decision variables, objective function, and constraints for maximum clarity.
Writing Optimization Problems in LaTeX
Expressing optimization problems clearly in LaTeX requires a structured approach that combines mathematical notation with descriptive text. A well-written optimization problem should clearly define the objective function, the decision variables, and the constraints. This involves careful use of LaTeX’s mathematical mode for symbols, operators, and formatting. Furthermore, incorporating explanatory text within the formulation enhances readability and understanding. Employing environments like equation, align, and gather allows for organized presentation of equations and constraints. Consider using packages like amsmath for enhanced mathematical typesetting capabilities.
Begin by stating the objective, whether it’s minimization or maximization, followed by the objective function itself. Clearly define each decision variable and its domain. Constraints should be presented systematically, using appropriate inequality or equality symbols. Adding brief comments explaining the meaning of each constraint can significantly improve clarity, especially for complex problems. Finally, consider using a dedicated environment for the entire problem formulation to visually separate it from the surrounding text.
People Also Ask about Writing Optimization Problems in LaTeX
How do I write the objective function in LaTeX?
The objective function is the core of your optimization problem. Use LaTeX’s math mode to express it clearly. For example, to minimize a function \(f(x)\), you would write:
\min_{x} f(x)
Replace \(f(x)\) with the actual function. For maximization, use \\max instead of \\min.
Example:
\min_{x, y} x^2 + y^2
How do I represent constraints in LaTeX?
Constraints define the feasible region for your decision variables. Use LaTeX’s math mode and inequality/equality symbols. For example:
x + y \le 10 \\ x \ge 0 \\ y \ge 0
These represent three constraints: the sum of \(x\) and \(y\) is less than or equal to 10, and both \(x\) and \(y\) are non-negative. Use \\\\ for line breaks within the align environment (recommended for constraints) for better alignment.
Example with Explanation:
\begin{align} x + y &\le 10 && \text{Total resources constraint} \\ x &\ge 0 && \text{Non-negativity constraint on x} \\ y &\ge 0 && \text{Non-negativity constraint on y} \end{align}
What LaTeX packages are helpful for optimization problems?
The amsmath package is essential for enhanced mathematical typesetting. It provides environments like align, gather, and equation for better equation formatting. Other packages like amssymb can be useful for additional mathematical symbols.
How can I make my optimization problem more readable in LaTeX?
Use comments to explain each part of your formulation. Add whitespace and line breaks strategically to improve visual clarity. Consider grouping related constraints together. Using a dedicated environment or visually separating the problem formulation from the surrounding text can also improve readability.
Example of a Complete Formulation:
\begin{align} \min_{x, y} \quad & x^2 + y^2 && \text{Minimize the squared sum of x and y} \\ \text{subject to} \quad & x + y \le 10 && \text{Total resources constraint} \\ & x \ge 0 && \text{Non-negativity constraint on x} \\ & y \ge 0 && \text{Non-negativity constraint on y} \end{align}